A solar eclipse provides a unique opportunity to observe the response of atmospheric turbulence to a step change in solar radiation. To assess changes to the atmospheric surface layer introduced by the solar eclipse, the University of Kentucky at the Russellville, Kentucky conducted a flight campaign at the Regional Airport on August 21, 2017.
Several measurement systems were deployed, including two fixed-wing unmanned aerial vehicles (UAVs) and one quadrotor UAV, complemented by ground-based sensors. Instrumentation on the quadrotor UAV included a TriSonica® Mini Wind and Weather Sensor. The TriSonica® Mini was mounted to the top of a 3DR SOLO quadcopter. The tower was used to ensure that wind measurements were not contaminated by the rotor wash (Figure 1).
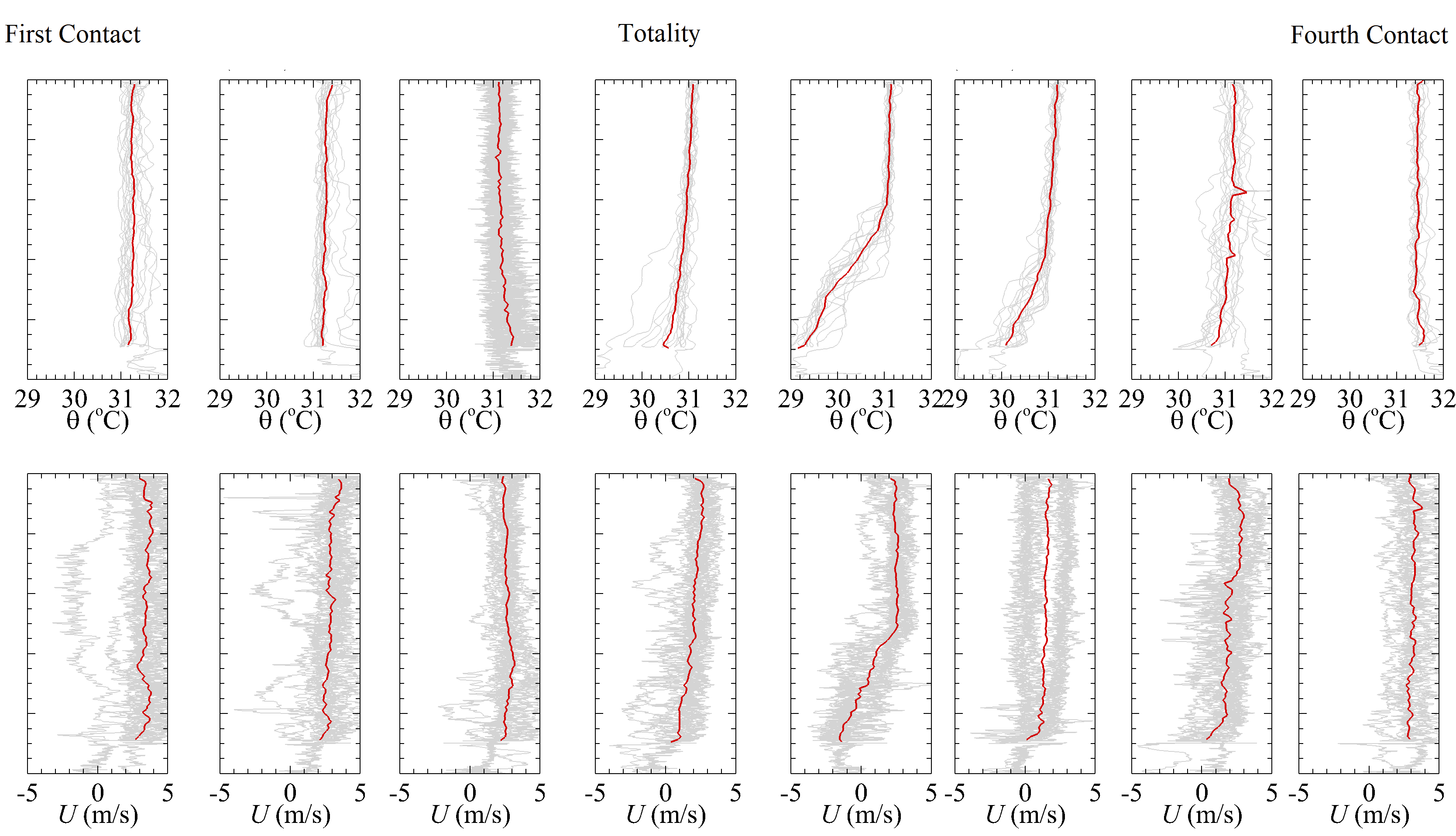
This system was used to capture the profile of the boundary layer by flying a repeated vertical flight path between 10 and 100 meters. The results of this study revealed the formation of a nocturnal layer shortly after totality, characterized by a vertical wind shear. Figure 2 shows profiles of potential temperature and wind speed from the beginning to the end of the eclipse.


Purchase Online
Get a Quote